Research from Yunnan Observatories on the physical mechanism of the evolution of high-energy emission lines in the “Brightest of All Time” gamma-ray burst GRB 221009A, titled “Production Mechanism of High-energy Emission Line in the Brightest Cosmic Burst” has been published in The Astrophysical Journal.
The Gravitational Wave High-energy Electromagnetic Counterpart All-sky Monitor (GECAM) and the Fermi Gamma-ray Space Telescope made the first definitive detection of a series of high-confidence gamma-ray emission lines from GRB 221009A, with the highest line energy reaching 37 MeV. The energy and flux of the emission line were found to evolve over time following a power-law pattern, while the ratio of its width to central energy remained nearly constant throughout the evolution. While several theoretical studies have attempted to explain the physical origin and characteristics of these spectral lines, providing a complete and self-consistent interpretation of their temporal evolution has remained a major challenge.
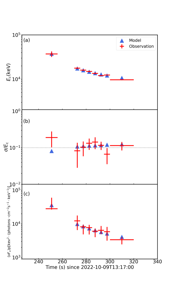
To interpret the evolution features of the emission line, Dr. LIU Jieying and Prof. MAO Jirong from Yunnan Observatories of the Chinese Academy of Sciences, along with Pro. XIONG Shaolin and Dr. ZHANG Yanqiu from the Institute of High Energy Physics of the Chinese Academy of Sciences, proposed a new model. They suggest that in the subphotospheric region of this gamma-ray burst, electron-positron pair annihilation would generate the original emission lines. As these emission line photons pass through the surrounding high-temperature and high-density medium, they are scattered by the electrons in the medium, losing energy in the process. This results in a reduction of both the energy at the center of the emission line and the total radiation intensity. This process is known as down-Comptonization. By incorporating with the jet dynamics of gamma-ray bursts, the theoretical model of down-Comptonization can systematically explain the temporal evolution of high-energy emission lines in this gamma-ray burst. Simultaneously, physical properties of the internal jet medium, such as its temperature and density, were measured.
This research is significant for understanding the temporal evolution of high-energy emission lines in gamma-ray bursts and opens new research directions for unraveling the physical origins of high-energy explosive phenomena in the universe.
This research was supported by the following grants: National Natural Science Foundation of China's Basic Science Center, the National Key R&D Program of China, the Strategic Priority Research Program of Chinese Academy of Sciences, the Yunnan Revitalization Talent Support Program, the Natural Science Foundation of Yunnan Province, and the International Centre of Supernovae, Yunnan Key Laboratory.

Figure 1: the cartoon for the radiation transfer of the high energy emission line. Image by LIU.

Figure 2:the comparison with the theoretical results(blue triangles)and the observed results (red crosses). Image by LIU.
Contact:
LIU Jieying
Yunnan Observatories, CAS
E-mail: ljy0807@ynao.ac.cn