Hot subdwarf B (sdB) stars are compact, core helium-burning objects with extremely thin hydrogen envelopes. They play a key role in explaining the ultraviolet upturn observed in elliptical galaxies. Their formation is closely linked to binary evolution, primarily through two channels: stable Roche-lobe overflow, which produces long-period systems, and common-envelope ejection, which leads to short-period binaries. However, composite-spectrum systems—in which both the hot subdwarf and a cool companion contribute to the observed spectrum—have long been scarce in number, and their physical parameters are difficult to determine with precision, leading to a limited statistical understanding of their formation channels.
The Binary Population Synthesis Research Group at Yunnan Observatories, Chinese Academy of Sciences, has advanced the statistical study of hot subdwarf binaries. Their findings have been published in The Astrophysical Journal.
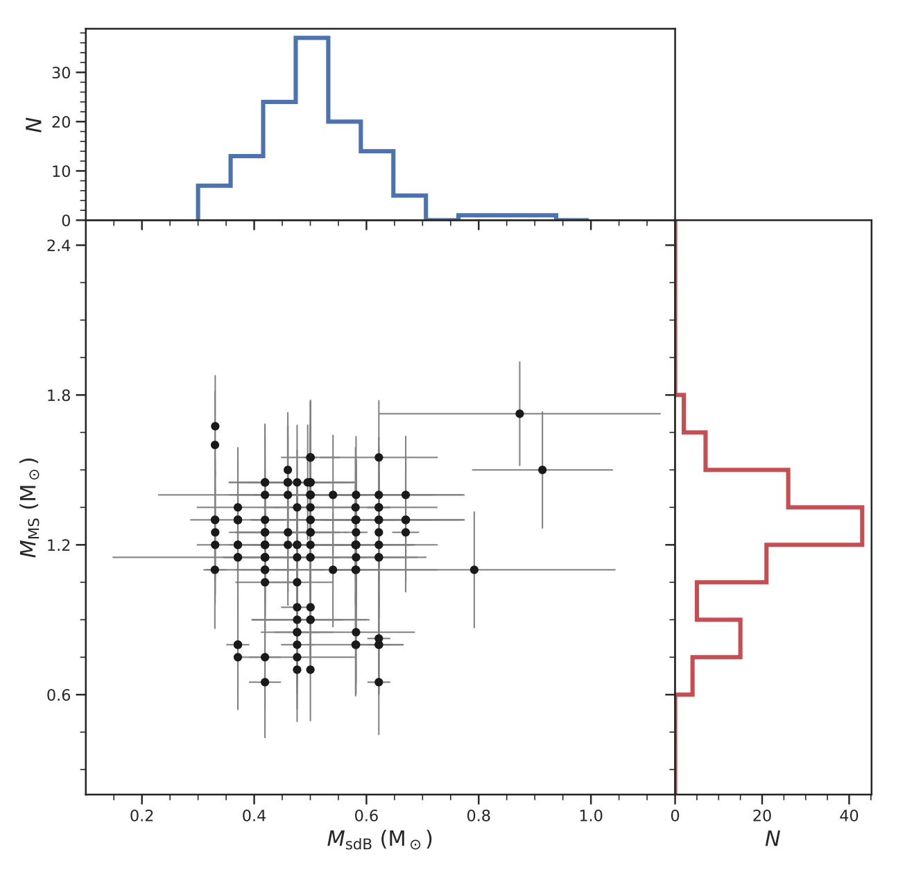
Using low-resolution spectroscopic data from the Large Sky Area Multi-Object Fiber Spectroscopic Telescope (LAMOST), the team selected 123 high-quality sdB + main-sequence (sdB+MS) binaries from previously identified candidates. Through spectral decomposition, they derived effective temperatures and surface gravities for the hot subdwarfs, and then estimated the masses and radii of both components using stellar evolution models. The results indicate that sdB masses are tightly clustered around 0.50 solar masses, which aligns with expectations for core helium-burning stars. Companion masses span 0.6–1.9 solar masses, with most in the range 1.0–1.4 solar masses, corresponding to F/G-type stars.
The team employed a Monte Carlo approach to statistically infer orbital period distributions using single-epoch radial velocity differences, combined with random orbital inclinations and phases. At the population level, the systems are predominantly long-period binaries, with periods ranging from tens to thousands of days. This distribution is consistent with formation via stable Roche-lobe overflow.
This work presents the largest and most homogeneously characterized sample of composite-spectrum hot subdwarf binaries based on LAMOST data to date. It provides statistical constraints on the mass, radius, and orbital period distributions of these systems and indicates that they are predominantly formed through the stable Roche-lobe overflow channel. These results offer observational constraints on hot subdwarf formation and lay the groundwork for future large-sample studies of binary evolution.
This work is supported by National Natural Science Foundation of China, National Key R&D Program of China, and the International Centre of Supernovae.

Figure 1, two-dimensional distribution of stellar masses for the sdB and MS components in our sample of 123 composite-spectrum binaries. The x-axis shows the sdB mass and the y-axis shows the MS companion mass, both in solar masses. Image by LI.

Figure 2, distribution of inferred orbital periods for the 123 composite-spectrum sdB+MS systems.The distribution indicates that most realizations occupy the long-period regime, extending roughly from a few tens to several thousand days, broadly consistent with expectations for stable Roche-lobe overflow. Image by LI.
Contact:
LI Jiangdan
Yunnan Observatories, CAS
e-mail:lijiangdan@ynao.ac.cn