Dr. JIAO Chengliang, an associate researcher in the Binaries and Variables Group at Yunnan Observatories, Chinese Academy of Sciences, and collaborators have published a study in Monthly Notices of the Royal Astronomical Society. The work introduces a novel method for estimating how stellar-mass compact objects (COs)—such as black holes, neutron stars, and white dwarfs—accrete matter in active galactic nucleus (AGN) disks, offering new insights into their evolution in extreme environments.
AGNs are luminous galactic centers powered by supermassive black holes (SMBHs) surrounded by gaseous disks. Stellar-mass COs in these disks can grow, migrate, and form merging binaries—key processes for producing gravitational wave events and high-energy transients. Previous studies often adopt Bondi or Bondi–Hoyle–Lyttleton (BHL) prescriptions, which neglect angular momentum in the gas–CO relative motion and may overestimate accretion rates.
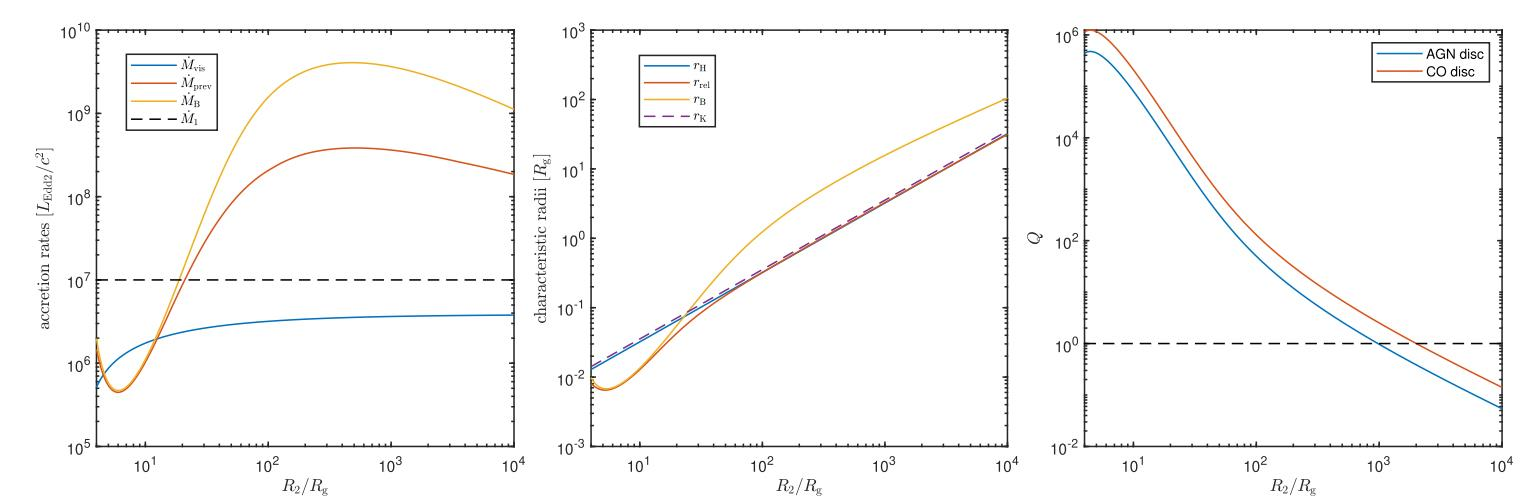
This study establishes a unified framework incorporating angular momentum effects. The authors show that differential rotation in AGN disks imparts significant angular momentum to gas approaching an embedded CO, generally leading to the formation of a viscous accretion disk rather than classical Bondi/BHL flows. They derive a new viscous accretion rate formula and propose that the actual CO accretion rate is the minimum of this viscous rate and the BHL rate. The transition between accretion modes depends on the CO–SMBH mass ratio, AGN disk aspect ratio, and orbital configurations. In thin AGN disks, COs usually undergo viscosity-limited accretion, while BHL accretion dominates in thicker disks such as slim disks or advection-dominated accretion flows (ADAFs).
A key result is a scaling relation: the viscous accretion rate is proportional to the global AGN disk accretion rate, with a factor of about 0.38 for corotating Keplerian orbits. This is especially useful for population-level studies, such as estimating embedded CO mass growth or predicting binary black hole merger rates.
The framework offers a more physical basis for studying CO evolution in AGN disks, improving upon classical Bondi/BHL models. It can also incorporate established outflow corrections, enabling improved treatment of super-Eddington flows.
This research was supported by the Chinese Academy of Sciences Grand Challenges Program, the Yunnan Province Special Fund for Construction of the South and Southeast Asia–Oriented Center for Technological Innovation, the Yunnan Province Key Project Fund, and the Yunnan Revitalization Talent Support Program.

Figure 1: Accretion rates and characteristic radii derived from different models as functions of the SMBH–CO separation, for a standard thin AGN disk and a CO on a prograde Keplerian orbit. The accretion rate is viscosity-limited in most regions except for the hottest innermost region. The right panel indicates the gravitational stability of the disks via the Toomre Q parameter. Image by JIAO.
Contact:
JIAO Chengliang
Yunnan Observatories, CAS
e-mail:jiaocl@ynao.ac.cn